
Product name |
CAS NO. | Standand | Structure |
Tazobactam |
89786-04-9 |
In house,USP38 |
![]() |
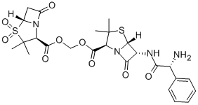
Sultamicillin Tosilate |
83105-70-8 |
CP2010,EP8.0 |
![]() |
Tazobactam Sodium |
89785-84-2 |
In house |
![]() |
Tazobactam Sodium&PiperacillinSodium Sterile Lyophilized Powder(1:8) |
----------- |
In house,USP38 |
|
Sultamicillin Base |
76497-13-7 |
In house,EP8.0 |
![]() |
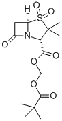
Sulbactam Pivoxil |
69388-79-0 |
In house |
![]() |
Sulbactam Sodium |
69388-84-7 |
USP38 |
![]() |
Piperacillin Acid |
61477-96-1 |
CP2010,USP38 |
![]() |
Ampicillin Sodium&Sulbactam Sodium(2:1) |
----------- |
USP38 |
|
Tazobactam Benzhydryl |
89789-07-1 |
In house |
![]() |
Sulbactam Acid |
68373-14-8 |
In house |
![]() |
Iodomethyl Sulbactam |
76247-39-7 |
In house |
![]() |
4-Ethyl-2,3-dioxo-1-piperazine carbonyl chloride(EDPC) |
59703-00-3 |
In house |
![]() |
(2R)-2-[(4-Ethyl-2,3-dioxopiperazinyl)carbonylamino]-2-phenylacetic acid(EPCP) |
63422-71-9 |
In house |
![]() |
HO-EPCP |
62893-24-7 |
In house |
![]() |